Menu
Obec Pohranice
ObecPohranice

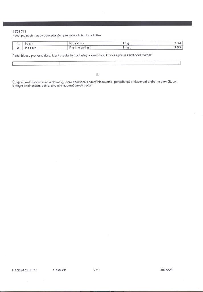
Oficiálne výsledky volieb v obci Pohranice - Prezident SR - 06.04.2024

1

Oficiálne výsledky volieb Prezidenta SR v obci Pohranice, ktoré sa konali dňa 06.04.2024. Volebná účasť 60,06%.

111

Dátum vloženia: 7. 4. 2024 11:49
Dátum poslednej aktualizácie: 28. 1. 2026 9:09
Autor: Správce Webu

Oznamy

Harmonogram vývozu odpadu 2026

Marec2026
Po Ut St Št Pi So Ne
23 24
25 26 27 28 1
2
3
4 5 6 7 8
9 10
11 12 13 14 15
16 17
18 19 20 21 22
23 24
25 26
27 28 29
30
31
1
2 3 4 5
Kalendár zvozu odpadu

Kalendár

Marec2026
Po Ut St Št Pia So Ne
23 24 25 26 27 28 1
2 3 4 5 6 7 8
9 10 11 12 13 14 15
16 17 18 19 20 21 22
23 24 25 26 27 28 29
30 31 1 2 3 4 5

Adresa úradu - Községi hivatal címe

OBEC POHRANICE
Obecný úrad č. 185
951 02 Pohranice
IČO: 00308382
DIČ: 2021252772
Bankové spojenie:
Prima Banka
Č.účtu pre úhradu daní a poplatkov:
SK9456000000000985172009

Úradné hodiny- Ügyfélfogadási rend

Pondelok / Hétfő:
08:00 – 12:00   
13:00 – 15:00
Utorok / Kedd:
Nestránkový deň- Nincs ügyfélfogadás      
Streda /Szerda:
08:00 – 12:00   
13:00 – 17:00
Štvrtok / Csütörtök:
Nestránkový deň - Nincs ügyfélfogadás
Piatok / Péntek:
08:00 – 12:30

Mobilná aplikácia

Sledujte informácie z nášho webu v mobilnej aplikácii - V OBRAZE.

Virtuálny cintorín

Návštevnosť

Návštevnosť:

ONLINE:0
DNES:34
TÝŽDEŇ:923
CELKOM:1590075